Δ.Σ. Σκύδρας: Ο νέος ΟΕΥ που έφερε αναμπουμπούλα, το άδειασμα του Καραπαναγιώτη στη Δήμαρχο, η στιγμή αμηχανίας και η ανέγερση της εκκλησίας περνάει από... γραφολόγο!
Το απόγευμα της 16ης Φεβρουαρίου 2026 είχε συνεδρίαση Δημοτικού Συμβουλίου. Οκτώ θέματα στην ημερήσια διάταξη, καμιά 15αριά σύμβουλοι, όπως συνήθως, και 4 με 5 προέδρους από δημοτικά διαμερίσματα. Ένα συνηθισμένο απογευματινό ΔΣ!
Από ένταση, πάντως, δεν είχε κάτι το ιδιαίτερο, αλλά αυτό που διαπιστώνεται, συμβούλιο με το συμβούλιο είναι ότι μεταξύ των δύο γυναικών/αρχηγών αρχίζει και ξεχειλίζει η ειρωνεία. Η κα Παπαδοπούλου, μέρα με την ημέρα, γίνεται όλο και πιο πιεστική, δε φαίνεται να την πτοεί ότι παίζει σ' ένα γήπεδο που την περιμένουν όλοι στη γωνία, γίνεται όλο και πιο δυναμική και αποφασιστική, είναι διαβασμένη, ξοδεύει πολύ προσωπικό χρόνο, στέλνει ερωτήσεις, αποφάσεις, απορίες, καταγγελίες (όπως θέλετε πείτε τα) παντού και ενοχλεί. Και η Δήμαρχος είναι φανερό, πλέον, ότι ενοχλείται και μάλλον δεν περίμενε αυτή την αντοχή και το πείσμα της κας Παπαδοπούλου. Γιατί όσοι έχουν γνώση, όπως λέει και η Δήμαρχος, καταλαβαίνουν. Αλλά η κα Ιγνατιάδου, εμπειρότατη, ξέρει ότι γνώση στον Δήμο Σκύδρας έχουν ελάχιστοι. Γι αυτό ενοχλείται. Η κα Παπαδοπούλου φέρνει θέματα στον δημόσιο διάλογο, δείχνει στην κοινωνία τα πάντα ή όσα τέλος πάντων μπορεί, ώστε η γνώση να διευρυνθεί!
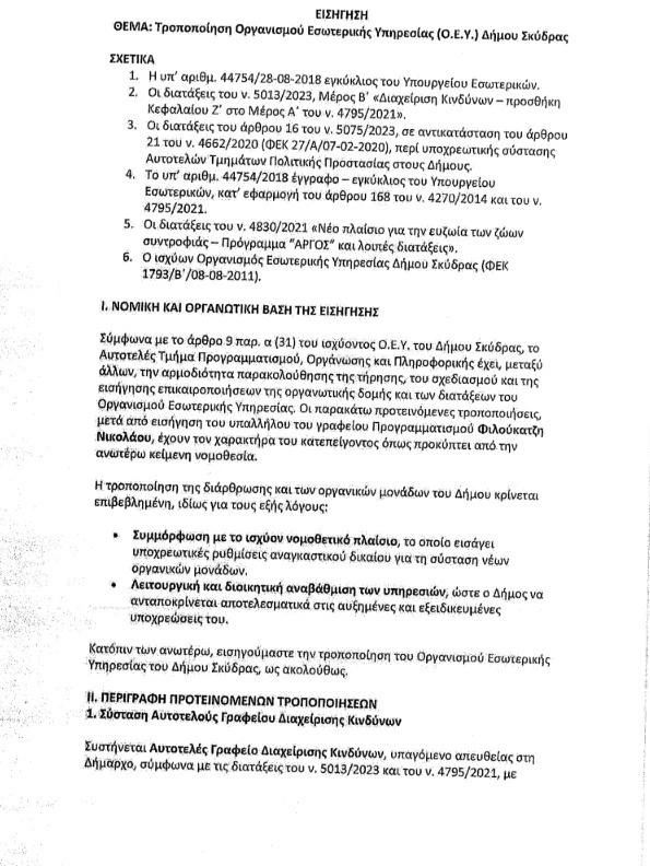
Ο οργανισμός εσωτερικής υπηρεσίας (ΟΕΥ) ήταν το πρώτο θέμα της συνεδρίασης, κι εκεί που περίμενε κανείς να "λήξει" μετά την πολύ ωραία εισήγηση του κου Φιλούκατζη, γίναμε μάρτυρες μιας αντιπαράθεσης που είχε αφετηρία το 2011.


Δείτε πάντως και την εισήγηση παρακάτω για περισσότερη γνώση γιατί ο Δήμος Σκύδρας έχει ανάγκη έναν καλό ΟΕΥ τον οποίο παρεμπιπτόντως η Λαϊκή Συσπείρωση καταψήφισε γιατί θεωρεί ότι το κράτος με αυτά που ζητάει πρέπει να στείλει προσωπικό, που δεν το κάνει!


Το βίντεο από το Δημοτικό Συμβούλιο με πρώτο θέμα τον ΟΕΥ ενώ παρακάτω το βίντεο από τη λογοδοσία με θέμα πάλι τον ΟΕΥ μετά από ερώτημα, της αντιπολίτευσης, βεβαίως.
Και πάμε στο 8ο θέμα. Ανάκληση των παραχωρήσεων χρήσης των γηπέδων Πετριάς και Καλής. Ξέρετε γιατί; Διότι ανήκουν στο Υπουργείο Αγροτικής Ανάπτυξης και Τροφίμων. Και πήγε η κα Παπαδοπούλου, που είχε ψηφίσει και η ίδια και η παράταξη της τη χρήση τους από συλλόγους τον περασμένο Αύγουστο, και γνωστοποίησε το θέμα στην Αποκεντρωμένη. Η τελευταία ζήτησε την ανάκληση της απόφασης του ΔΣ με το παρακάτω έγγραφο.

Η συζήτηση που ακολούθησε με ξεπερνάει.

Ωραίο θέμα ήταν και η τροποποίηση του τεχνικού προγράμματος.

Δεν βρέθηκαν, λέει, ενδιαφερόμενοι για την κατασκευή του έργου και συγκεκριμένα για την προμήθεια και τοποθέτηση ενημερωτικών πινακίδων για τα ΚΕΠ. Δεν το καταλαβαίνω να πω την αλήθεια. Αλλά με την ευκαιρία σας δείχνουμε το τροποποιημένο τεχνικό πρόγραμμα του Δήμου Σκύδρας με τα συνεχιζόμενα και τα νέα έργα. Οργασμός εργασιών!!!!


Κλείνουμε με Ντεκοβίλ και ανέγερση του Ιερού Ναού.
Να 'χουμε χρόνια να το δούμε κι αυτό γιατί έτσι όπως πάει βλέπω πιθανότερο η υπόθεση να γίνεται ταινία στους κινηματογράφους κι επειδή θα σπάσει τα κοντέρ, με τα χρήματα που θα βγουν να ανεγείρεται τελικά η εκκλησία και να ανάβουμε κερί!

Η εμφάνιση μιας άλλης διαθήκης, λοιπόν, έχει περιπλέξει τα πράματα και τον λόγο θα έχει η δικαιοσύνη, αφού προηγουμένος ο Δήμος Σκύδρας πράξει τα απαραίτητα που σημαίνει γραφολογική εξέταση και πάει λέγοντας. Να σημειώσουμε, επίσης, ότι παραιτήθηκαν οι ορισθέντες της πρώτης διαθήκης εκτελεστές (μάλλον απηύδησαν οι άνθρωποι) και με επιμέλεια της Αποκεντρωμένης ορίστηκε ο Μητροπολίτης. Στο ΔΣ ήρθε η γνωμοδότηση δικηγόρου η οποία έγινε αποδεκτή ομοφώνως. Σας παρουσιάζουμε παρακάτω όλη την εισήγηση της για βαθύτερη γνώση του ζητήματος.

ΔΙΑΒΑΣΤΕ ΑΚΟΜΗ
-
Αρης: Κοιμήθηκε και αποκλείστηκε
17 Φεβρουαρίου 2026
ΣΧΟΛΙΑ